Номер 600 - ГДЗ Математика 6 класс. Мерзляк, Полонский. Учебник. Страница 116

Вернуться к содержанию учебника

Страница 116

597 598 599 600 601 602 603

Вопрос

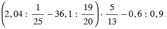
Найдите значение выражения:

Подсказка

Вспомните:

  1. Преобразование обыкновенных дробей в десятичные.
  2. Деление десятичных дробей.
  3. Умножение обыкновенных дробей.
  4. Сокращение дробей.
  5. Деление и дроби.
  6. Вычитание дробей с одинаковыми знаменателями.

Ответ


Вернуться к содержанию учебника