Вернуться к содержанию учебника
Упражнения §15. Страница 121
8 9 10 468 469 470 471 472 473 474 475
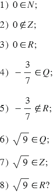
Верно ли утверждение:
Вспомните: