Номер 544 - ГДЗ Алгебра 8 класс. Мерзляк, Полонский. Учебник. Страница 138

Вернуться к содержанию учебника

Упражнения §17. Страница 138

541 542 543 544 545 546 547

Вопрос

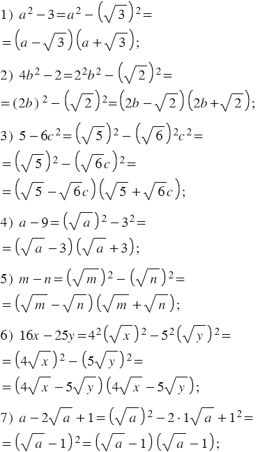
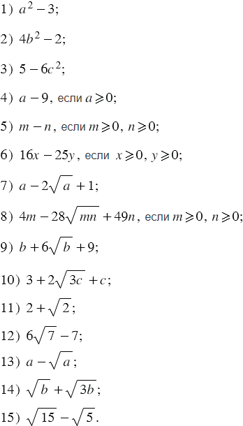
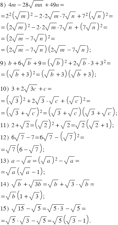
Разложите на множители выражение:

Подсказка

Ответ


Вернуться к содержанию учебника