Номер 569 - ГДЗ Математика 6 класс. Мерзляк, Полонский. Учебник. Страница 105

Вернуться к содержанию учебника

Страница 105

566 567 568 569 570 571 572

Вопрос

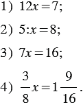
Найдите корень уравнения с точностью до сотых:

Подсказка

Ответ


Вернуться к содержанию учебника