Номер 573 - ГДЗ Математика 6 класс. Мерзляк, Полонский. Учебник. Страница 106

Вернуться к содержанию учебника

Страница 106

570 571 572 573 574 575 576

Вопрос

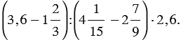
Найдите значение выражения:

Подсказка

Вспомните:

  1. Порядок выполнения действий.
  2. Обыкновенные дроби.
  3. Смешанные числа.
  4. Десятичная запись дробных чисел.
  5. Умножение дробей и смешанных чисел.
  6. Деление дробей и смешанных чисел.
  7. Вычитание дробей с одинаковыми знаменателями.
  8. Приведение дробей к общему знаменателю.
  9. Вычитание дробей с разными знаменателями.
  10. Какие числа называют взаимно обратными.
  11. Сокращение дробей.

Ответ


Вернуться к содержанию учебника