Номер 496 - ГДЗ Алгебра 8 класс. Мерзляк, Полонский. Учебник. Страница 129

Вернуться к содержанию учебника

Упражнения §16. Страница 129

3 4 5 496 497 498 499

Вопрос

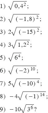
Чему равно значение выражения:

Подсказка

Ответ


Вернуться к содержанию учебника