Вернуться к содержанию учебника
Упражнения §16. Страница 130
4 5 496 497 498 499 500 501 502 503 504
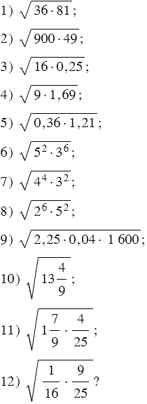
Чему равно значение выражения:
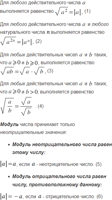
Вспомните: