Номер 830 - ГДЗ Алгебра 8 класс. Мерзляк, Полонский. Учебник. Страница 202

Вернуться к содержанию учебника

Упражнения §24. Страница 202

827 828 829 830 831 832 833

Вопрос

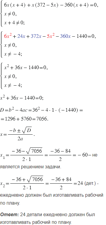
Рабочий должен был за некоторое время изготовить 360 деталей. Первые 5 дней он ежедневно изготавливал запланированное количество деталей, а затем ежедневно изготавливал на 4 детали больше, и уже за день до срока изготовил 372 детали. Сколько деталей ежедневно должен был изготавливать рабочий по плану?

Подсказка

Ответ


Вернуться к содержанию учебника