Номер 866 - ГДЗ Алгебра 8 класс. Мерзляк, Полонский. Учебник. Страница 218

Вернуться к содержанию учебника

Упражнения для повторения курса алгебры 8 класса. Страница 218

863 864 865 866 867 868 869

Вопрос

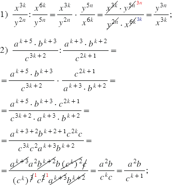
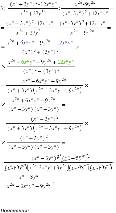
Упростите выражение:

где и - целые числа;

где   - целое число;

где - целое число.

Подсказка

Ответ


Вернуться к содержанию учебника