Вернуться к содержанию учебника
Упражнения для повторения курса алгебры 8 класса. Страница 219
865 866 867 868 869 870 871 872 873 874 875
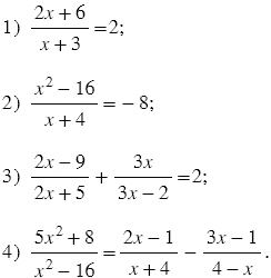
Решите уравнение:
Вспомните: