Номер 503 - ГДЗ Алгебра 8 класс. Мерзляк, Полонский. Учебник. Страница 131

Вернуться к содержанию учебника

Упражнения §16. Страница 131

500 501 502 503 504 505 506

Вопрос

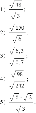
Найдите значение выражения:

Подсказка

Ответ


Вернуться к содержанию учебника