Номер 505 - ГДЗ Алгебра 8 класс. Мерзляк, Полонский. Учебник. Страница 131

Вернуться к содержанию учебника

Упражнения §16. Страница 131

502 503 504 505 506 507 508

Вопрос

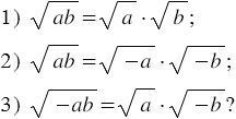
При каких значениях и  выполняется равенство:

Подсказка

Ответ


Вернуться к содержанию учебника