Номер 506 - ГДЗ Алгебра 8 класс. Мерзляк, Полонский. Учебник. Страница 131

Вернуться к содержанию учебника

Упражнения §16. Страница 131

503 504 505 506 507 508 509

Вопрос

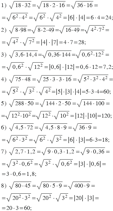
Найдите значение выражения, представив предварительно подкоренное выражение в виде произведения квадратов рациональных чисел:

Подсказка

Ответ


Вернуться к содержанию учебника